Computer Use 完全指南:AI 替你操作电脑的四种路线
2026-04-15
2024 年 10 月,Anthropic 首次公开 Claude Computer Use 功能。2025 年 1 月,OpenAI 跟进发布 CUA(Computer Using Agent)。一个新品类正式诞生:Computer Use——让 AI 像人类一样看到屏幕、移动鼠标、点击按钮、操作软件。
Computer Use 不是简单的自动化脚本。传统的 RPA 需要为每个系统写专用规则,界面一改就失效。而 Computer Use 方案基于视觉理解,AI “看懂”屏幕内容后自主决策下一步操作,就像一个坐在你旁边的助手。
这意味着什么?意味着你不再需要 API、不再需要编程、不再需要为每个软件单独配置,只要是人类能在屏幕上操作的软件,Computer Use 就能替你完成。

目前市场上的 Computer Use 方案,按技术架构可分为四种路线。它们在能力、安全性、成本上的差异巨大。
代表产品:Anthropic Claude Computer Use、OpenAI CUA
工作原理:你的电脑截取屏幕画面 → 上传到云端大模型 → 模型返回操作指令(如“点击坐标 x=340, y=520”)→ 本地执行。
优势:
劣势:
代表产品:Manus、部分企业 RPA 云方案
工作原理:任务在云端虚拟机中执行,AI 操作的是云端的虚拟桌面,而非你的本地电脑。
优势:
劣势:
代表产品:Mano-P
工作原理:端侧模型直接在你的设备上运行,通过视觉理解屏幕内容,在本地完成全部推理和操作。屏幕截图不出设备,无需联网。
优势:
劣势:
代表产品:部分企业自建方案
工作原理:简单任务用端侧模型处理,复杂任务切换到云端大模型。
优势:
劣势:
| 维度 | 云端 API | 云端虚拟桌面 | 端侧纯视觉 | 混合方案 |
| 代表产品 | Claude CU / OpenAI CUA | Manus | Mano-P | 企业自建 |
| 数据安全 | ⚠️ 截图上传云端 | ⚠️ 数据在云端 | ✅ 数据不出设备 | ⚠️ 部分上云 |
| 离线能力 | ❌ 需联网 | ❌ 需联网 | ✅ 完全离线 | ⚠️ 部分离线 |
| 延迟 | 高(网络往返) | 中 | 低(本地推理) | 视任务而定 |
| 成本 | 按调用计费 | 按时长计费 | 零边际成本 | 混合计费 |
| 模型能力 | 最强 | 强 | 专用模型全球第一 | 视配置而定 |
| 硬件要求 | 无 | 无 | M4+32GB | 视配置而定 |
| 开源 | ❌ | ❌ | ✅ Apache 2.0 | 视方案而定 |
Anthropic 在 2024 年 10 月率先发布 Computer Use 功能,随后持续迭代,陆续面向更多开发者和消费端用户开放。Claude 的 Computer Use 基于其旗舰通用大模型,在 OSWorld 全模型排行榜上长期占据前列位置。
核心优势:模型能力强,背靠 Anthropic 的持续投入。
核心限制:屏幕截图必须上传云端,Anthropic 官方建议在虚拟机中运行。
OpenAI 于 2025 年初发布 CUA,同样基于其通用大模型。CUA 采用类似架构,通过 API 调用实现屏幕操作。
核心优势:与 OpenAI 生态深度集成。
核心限制:同样的云端上传隐私问题,且价格不低。
字节跳动开源的 GUI Agent 项目,2025 年初登上 GitHub 热榜。UI-TARS 提供了开源的模型和框架,但主要面向云端/服务器部署。
核心优势:开源,中文场景优化。
核心限制:主要面向服务器部署,端侧体验有限。
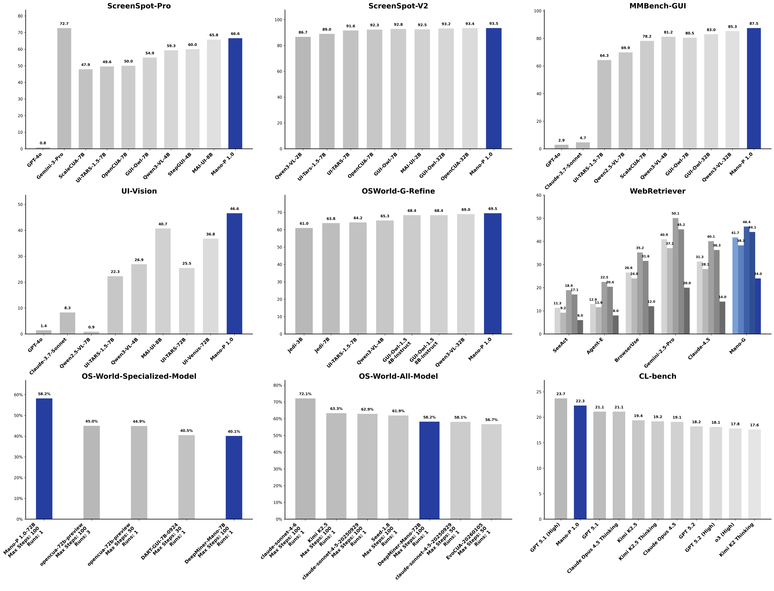
明略科技在2026年3月推出的端侧 Computer Use 方案。Mano-P 72B 模型以 58.2% 成功率拿下OSWorld 专用模型全球第一(领先第二名 13.2 个百分点),随后通过蒸馏和量化技术将模型压缩为 4B 版本,在 Apple M4 Mac 上流畅运行。

核心优势:
核心限制:需要 M4 芯片 + 32GB 内存的 Mac。

Computer Use 的本质是让 AI “看到”你的屏幕。这意味着你的每一个操作、每一份打开的文档、每一条消息,都在 AI 的“视野”之内。
在云端方案中,这些信息以截图形式上传到远程服务器。即使提供商承诺不留存,数据在传输过程中仍面临风险。对于处理客户数据、财务信息、医疗记录、法律文件的场景,这个风险可能是不可接受的。
端侧 Computer Use(如 Mano-P)从架构上解决了这个问题:模型运行在你自己的设备上,屏幕截图不离开本地,推理过程不经过任何外部服务器。这不是靠“承诺不看”来保障安全,而是架构上就不可能泄露。
至于能力,Mano-P 在 OSWorld 专用模型排行榜上以 58.2% 成功率排名全球第一,在 WebRetriever Protocol以 41.7 NavEval 同样排名第一,证明端侧方案在能力上完全不输云端大模型。
如果你的 Mac 配备 M4 芯片和 32GB 以上内存,可以通过以下三种方式使用 Mano-P,根据你的使用场景选择最适合的形式。
Computer Use 是指让 AI 通过视觉理解屏幕内容,像人类一样操作电脑的技术。AI 能看到界面、点击按钮、输入文字、切换应用,完成各类桌面操作任务。
Mano-P 是明略科技推出的端侧 GUI 智能体(端侧 Computer Use 方案),是目前唯一在端侧运行、OSWorld 评测专用模型全球第一的开源 GUI Agent。
核心区别在于架构:Claude CU 需要将屏幕截图上传云端推理,而 Mano-P 完全在本地运行,数据不出设备。Mano-P 同时在 OSWorld 专用模型榜排名全球第一(58.2%),能力上不输云端方案。此外 Mano-P 采用 Apache 2.0 开源协议,代码完全透明可审计。
可以。Mano-P 的端侧模型完全在本地运行,支持断网使用,不依赖任何云端服务。
需要搭载 Apple M4 芯片和 32GB 以上内存的 Mac(如 MacBook Pro M4、Mac mini M4 Pro 等)。
CLI 工具形式:
OpenClaw/Claude Code Skill 形式: 请参见 ClawHub – Mano-CUA
Mano-P 端侧模式下,所有推理在设备本地完成,屏幕截图不上传、不外传。采用 Apache 2.0 开源协议,代码可审计。这是架构级的安全保障,而非仅靠隐私政策承诺。
本地模式: ✅ 所有处理都在设备上进行
云端模式:⚠️ 仅截图和任务描述发送到 mano.mininglamp.com
✅ 不访问本地文件、剪贴板内容或凭证
透明度: 完整客户端开源可供审计
了解更多:[GitHub – Mininglamp-AI/Mano-P] (https://github.com/Mininglamp-AI/Mano-P)
联系我们:model@mininglamp.com
信息填写