从 72B 到 4B:模型蒸馏如何让 AI 智能体跑在你的 MacBook 上
2026-04-14
从 DeepSeek-R1 到苹果端侧小语言模型,2025-2026 年 AI 行业最大的共识之一是“把大模型变小”。明略科技的 Mano-P 将这个方向推向了极限:72B 参数的旗舰 GUI 智能体模型,经过 GSPruning 视觉 Token 剪枝和 w4a16 混合精度量化,蒸馏为 4B 版本,在 Apple M4 Pro 上实测预填充 476 tokens/s、峰值内存仅 4.3GB。本文拆解这套“双管齐下”的压缩方案背后的技术原理。

2025年初,AI 行业被一个词刷屏了:蒸馏。
DeepSeek-R1 用蒸馏技术证明了千亿参数模型的推理能力可以“传授”给更小的模型。苹果在 iOS 18 中部署了端侧小语言模型Apple Intelligence。这些公司都押注在了同一个方向:把大模型变小,让小模型变强。
原因很简单:大模型虽强,但只能跑在云端数据中心。对于需要低延迟、高隐私、持续运行的应用场景,云端方案在成本和安全上都存在根本性矛盾。
但模型压缩有一个被刻意忽略的问题:极限在哪里?
当行业还在讨论“70B 能不能压缩到 7B”时,2026年,明略科技的 Mano-P 团队已经交出了一份更激进的答卷——72B 参数的旗舰 GUI 智能体模型,被压缩到了 4B。18 倍的压缩比,不是实验室里的概念验证,而是已经在 M4 Pro 上稳定运行的产品级方案。

在讨论“怎么蒸馏”之前,必须先回答“为什么必须蒸馏这么狠”。
端侧部署 GUI 智能体面临三个不可妥协的硬约束:
约束一:内存天花板。 消费级设备的内存有限。M4 Pro 顶配 32GB 统一内存,实际可用于模型推理的远少于此。一个未经优化的 72B 模型在 FP16 精度下需要约 144GB 显存——这不是”优化优化就行”的问题,是数量级的鸿沟。
约束二:实时性要求。 GUI 智能体需要实时响应用户操作——看到屏幕变化后在秒级内做出决策。任何模型,如果推理延迟超过 2-3 秒,在 GUI 操作场景下就是不可用的。这对模型大小和推理效率提出了极高要求。
约束三:隐私合规。 金融、医疗、法律、政务——这些行业的数据不能出设备。不是“加密传输”就能解决的问题,而是数据物理上不能离开本地。这意味着模型必须完整运行在用户设备上,不能依赖云端推理。
三个约束叠加的结论:72B 模型的能力必须被浓缩到消费级硬件能承载的大小——4B 级别。
Mano-P 的压缩方案不是单一技术,而是视觉 Token 剪枝 + 权重量化的协同架构。两项技术解决不同维度的问题:剪枝压缩输入端的信息量,量化压缩模型本身的存储需求。
GUI 智能体的核心任务是多模态理解——看懂屏幕截图,识别 UI 元素的位置和功能,然后决定下一步操作。但一张高分辨率屏幕截图经过视觉编码器后,会产生大量视觉 Token。这些 Token 中,大部分是背景、空白区域、装饰性元素。这些对操作决策没有价值,却占用了宝贵的上下文窗口。
GSPruning(Gradient-Sensitive Pruning)的核心洞察是:不同的视觉 Token 对最终决策的贡献差异极大。它通过梯度敏感度分析,识别出哪些 Token 对模型输出影响最大(通常是按钮、输入框、菜单项等交互元素的位置),保留这些关键 Token,裁剪掉冗余部分。
效果:视觉 Token 压缩至原始数量的 12.57%——相当于模型只看屏幕上最重要的 13% 信息,但对 UI 元素的识别和操作准确率几乎不受影响。推理速度因此获得显著提升。
打个比方:你让一个人快速扫一眼电脑屏幕然后执行操作。经验丰富的人不会逐像素看完整张屏幕,而是直接锁定按钮和输入框。GSPruning 让模型学会了这种“经验丰富”的看法。
剪枝解决了输入端的效率问题,但模型权重本身还是太大。72B 模型的 FP16 权重约 144GB,远超消费级硬件承载能力。
w4a16(4-bit weight, 16-bit activation)混合精度量化解决的是存储问题。
关键设计:权重用低精度,激活用高精度。 模型权重(参数)量化到 4bit(INT4),存储需求大幅缩减;但推理过程中的激活值保持 16bit(FP16),确保计算精度不崩盘。
为什么这样分?因为权重是“静态”的(训练完就不变了),对精度的容忍度相对高;而激活值是“动态”的(每次推理都不同),精度损失会直接影响输出质量。
这种设计的最终效果:
压缩不是目的,可用才是。以下是 4B 量化模型在 Apple M4 Pro 上的实测数据:
| 指标 | 数值 | 说明 |
| 预填充速度 | 476 tokens/s | 处理输入(截图 + 任务描述)的速度 |
| 解码速度 | 76 tokens/s | 生成输出(操作步骤)的速度 |
| 峰值内存 | 4.3GB | 推理过程中的最大内存占用 |
| 首次响应延迟 | <1秒 | 从发出指令到得到第一个操作步骤 |
476 tokens/s 意味着什么? 每秒处理约 300-400 个中文字的输入。一张屏幕截图经过视觉编码和 GSPruning 剪枝后,在不到 1 秒内完成理解。
76 tokens/s 意味着什么? AI 生成操作指令的速度接近人类打字速度的 10 倍。用户体验上,指令发出后“几乎瞬间”看到 AI 开始执行操作。
4.3GB 意味着什么? 32GB 的 MacBook 上,模型占用不到 14% 的内存。你可以同时打开浏览器、Office、邮件客户端和 Mano-P——AI 在后台帮你干活,完全不影响日常使用。
Mano-P 的技术路线可以用一句话概括:72B 屠榜证明技术实力,4B 上机证明日常可用。
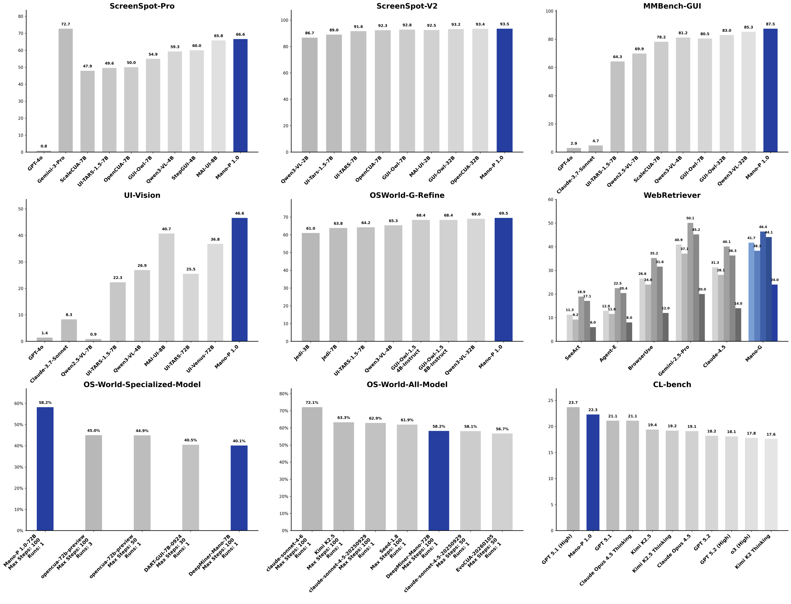
72B 旗舰模型在 OSWorld 基准测试中以 58.2% 的成功率拿下专用模型全球第一,领先第二名(OpenCUA-72B,45.0%)超过 13 个百分点。这个成绩证明了底层技术路线的正确性——经过专项训练和优化的专用模型,在特定任务上完全可以达到甚至超越通用大模型的水平。

但 72B 模型没法跑在你的 MacBook 上。4B 蒸馏版的价值正在于此:它继承了 72B 在 GUI 操作领域积累的专业知识,同时可以在消费级硬件上实时运行。
打个比方:72B 是心脏外科顶级专家,做复杂手术无人能比;4B 是这位专家带出来的高徒,日常 80% 的诊断能力不输老师,但年薪只要 1/20,而且你可以请到家里来坐诊,不用每次都去三甲医院排队。
这种“大模型打标杆 + 小模型做产品”的策略,可能是端侧 AI 领域最务实的路线。
当一台 MacBook 可以本地运行一个在全球基准测试中排名第一的 GUI 智能体时,AI 行业正在经历一个范式转移:AI 能力不再是云端巨头的专利,而是每台设备的内置能力。
从 72B 到 4B,压缩的不只是参数数量。压缩的是 AI 与用户之间的距离,是使用门槛,是部署成本,是数据泄露的风险。
模型蒸馏的终极目标不是“做一个小模型”,而是让最强的 AI 能力,在每个人自己的设备上运行。
Mano-P 是明略科技开源的端侧 GUI -VLA智能体模型,正是这条路线的产品化实践。72B 旗舰模型以 58.2% 成功率拿下 OSWorld 专用模型榜全球第一;通过 GSPruning 视觉 Token 剪枝(压缩至 12.57%)和 w4a16 混合精度量化,蒸馏为 4B 版本后在 Apple M4 Pro 上实测预填充 476 tokens/s、解码 76 tokens/s、峰值内存仅 4.3GB。数据全程不离开设备,支持完全离线运行。采用 Apache 2.0 开源协议。
立即体验:`brew install mano-cua`
技术论文:arXiv:2509.17336
GitHub:github.com/Mininglamp-AI/Mano-P
4B 蒸馏版继承了 72B 旗舰模型在 GUI 操作领域的核心能力。在日常任务(邮件处理、表格录入、文件管理等)上,4B 模型的表现足以满足生产级需求。复杂的多步骤跨应用任务,可以通过云端 72B 模型处理。
w4a16 混合精度量化通过保持激活值的高精度(16bit),将精度损失控制在很小的范围内。实测中,量化后的任务成功率下降不到 5%,对日常使用几乎无感知影响。
Mano-P 是一个开源的 GUI-VLA(Vision-Language-Action)智能体,设计用于在苹果芯片边缘设备上本地运行。它使用纯视觉理解来跨平台自动化桌面 GUI 操作。Mano 是西班牙语里“手”的意思,P 有两重含义:Person(个体)与 Party(组织)——我们相信,无论个人还是企业,都能够创造属于自己的个性化 AI。
| 对比维度 | Mano-P | Claude Computer Use |
| OSWorld(全部模型) | 58.2%(专用模型第一,全部模型前五) | 全部模型第一(千亿参数级通用大模型) |
| WebRetriever Protocol I | 41.7 NavEval(领先) | 31.3(Claude 4.5) |
| 数据流向 | 完全本地,截图不出设备 | 需上传到云端 API |
| 离线运行 | ✅ 支持 | ❌ 不支持 |
| 主动性 | ✅ 7×24 无限制运行 | ⚠️ 受平台算力成本限制 |
| 开源 | ✅ Apache 2.0 协议 | ❌ 闭源 |
Mano-P 在专用模型中排名全球第一,在网页检索等任务上领先 Claude,且天然满足数据安全要求。适合高安全需求场景。
可以! 在本地模式下,所有模型推理都在 Apple M4 设备上运行。不会向外部服务器发送任何截图或任务描述。
最低要求:Mac mini 或 MacBook;Apple M4 芯片;32GB 内存
替代方案:任何 Mac + Mano-P 算力棒(通过 USB 4.0+ 连接)
我们计划在未来支持更多设备。
了解更多:[GitHub – Mininglamp-AI/Mano-P] (https://github.com/Mininglamp-AI/Mano-P)
联系我们:model@mininglamp.com
信息填写