AI越“懂”你,你越该问:我的数据属于谁?
2026-04-22
AI越“懂”你,你越该问一个问题:这些关于自己的记忆,存在谁的服务器上?2026年,云端AI个性化服务全面爆发,但数据泄露事件也在同步升温。当AI记住了你的工作习惯、健康状况、家庭关系、财务偏好,这些记忆的归属权却不在你手里。真正的个性化AI助手(Personalized AI),不是“记住你”,而是“属于你”——数据不出设备、代码开源可审计、控制权完全归你。在AI数据安全日益受到关注的今天,本地AI正在成为越来越多用户的选择。Mano-P,明略科技开源的端侧GUI-VLA智能体模型,正是这种理念的技术实现:所有推理在你自己的Mac上完成,屏幕截图和操作数据都不会离开你的设备。

你有没有想过,你每天和AI聊天时透露的那些信息——工作安排、健康状况、家庭成员的名字、财务偏好,最终去了哪里?
当下所有主流AI聊天工具都在竞相推出“记忆”功能,它们记住你的偏好、学习你的表达习惯、追踪你的兴趣变化,目标是提供越来越“懂你”的服务。但这些记忆存在哪里?
答案是:云端服务器。你的AI越了解你,它的运营商就越了解你。这些记忆是AI为你服务的基础,同时也是平台最有价值的数据资产。它们被存储在你无法访问的服务器上,受到你无法审计的算法处理,被你无法控制的隐私政策约束。
从AI数据安全的角度看,更令人不安的是,这些数据并非无懈可击。2026年初,安全研究机构Check Point披露了一种针对主流AI聊天工具的隐蔽数据外泄攻击:攻击者只需构造一条经过精心设计的恶意指令,就能在AI正常回复用户的同时,将用户上传的敏感文件,如体检报告、合同、个人信息,静默发送到外部服务器,用户全程毫无察觉。
同样是2026年4月,据36氪等媒体报道,Meta计划在美国员工的电脑上部署追踪软件,捕捉鼠标移动、点击和击键操作,并定时截取屏幕快照,所有数据用于训练AI模型。“AI看你的屏幕”不再是科幻电影的桥段,它正在发生。
让我们厘清一个正在被混淆的概念。当AI公司宣传“个性化AI”时,他们的意思是:AI能记住你的偏好,像一个了解你的助手一样工作。这听起来很好。但这种“个性化”有一个前提条件:你的数据大抵会离开你的设备,上传到他们的云端。
这是一个结构性问题,不是某家公司做得好不好的问题。无论是哪家公司的记忆功能、项目空间还是个性化设置,底层逻辑完全一致:你的信息上云,AI变聪明,你失去控制。
数据也在佐证这种担忧正在蔓延。根据Braze 2026年报告,拒绝与AI共享任何数据的用户比例已攀升至27%。Relyance AI的调研则显示,82%的消费者认为AI相关的数据失控已构成严重威胁,81%的人相信企业正在未经许可使用个人数据训练AI模型。
与此同时,监管的脚步也在加速。欧盟AI法案将于2026年8月全面生效,对AI系统的数据处理提出了前所未有的严格要求,违规企业面临高达3500万欧元或全球收入7%的罚款。多个国家的数据保护机构已开始发布专门针对AI Agent记忆系统的数据安全技术指南。
核心矛盾已经浮出水面:用户想要AI懂自己,但不想把自己交出去。AI数据安全不再是技术极客的小众话题,它已经成为每一个AI用户都无法回避的现实问题。
如果“个性化”的代价是放弃数据主权,那我们需要重新定义什么是真正的Personalized AI。
真正属于你的个人AI助手,应该满足三个标准:
第一,数据不出设备。作为本地AI,所有推理都在你自己的硬件上完成,屏幕截图、操作记录、任务指令不会被上传到任何外部服务器。断开网络连接后,本地AI仍然可以正常工作。
第二,开源可审计。AI的全部源代码公开可查,任何人都可以审计代码中是否存在数据回传、后门或隐蔽的信息收集行为。“我们保护你的隐私”不再是一句承诺,而是一个可以验证的事实。
第三,控制权归用户。你决定AI能访问什么、记住什么、忘记什么。你的AI记忆存储在你自己的硬盘上,你可以随时查看、修改或删除。不存在“账号注销后数据保留30天”的灰色地带。
这三个标准不是理想主义的愿景,本地AI的发展已经让这一切成为现实。
Mano-P(Mano是西班牙语中“手”的意思,P代表Person和Party)是明略科技开源的端侧GUI-VLA智能体模型。它的设计理念写在名字里:个体(Person)和组织(Party)都能够创造属于自己的个性化AI。
它不只是一个聊天机器人,它能像人一样看屏幕、理解界面、操作电脑。你告诉它“帮我整理桌面上这10个PDF的关键信息到Excel里”,它真的会打开文件、阅读内容、切换应用、填入表格、保存结果。而这一切,都在你自己的Mac上完成,这就是本地AI的真正价值。

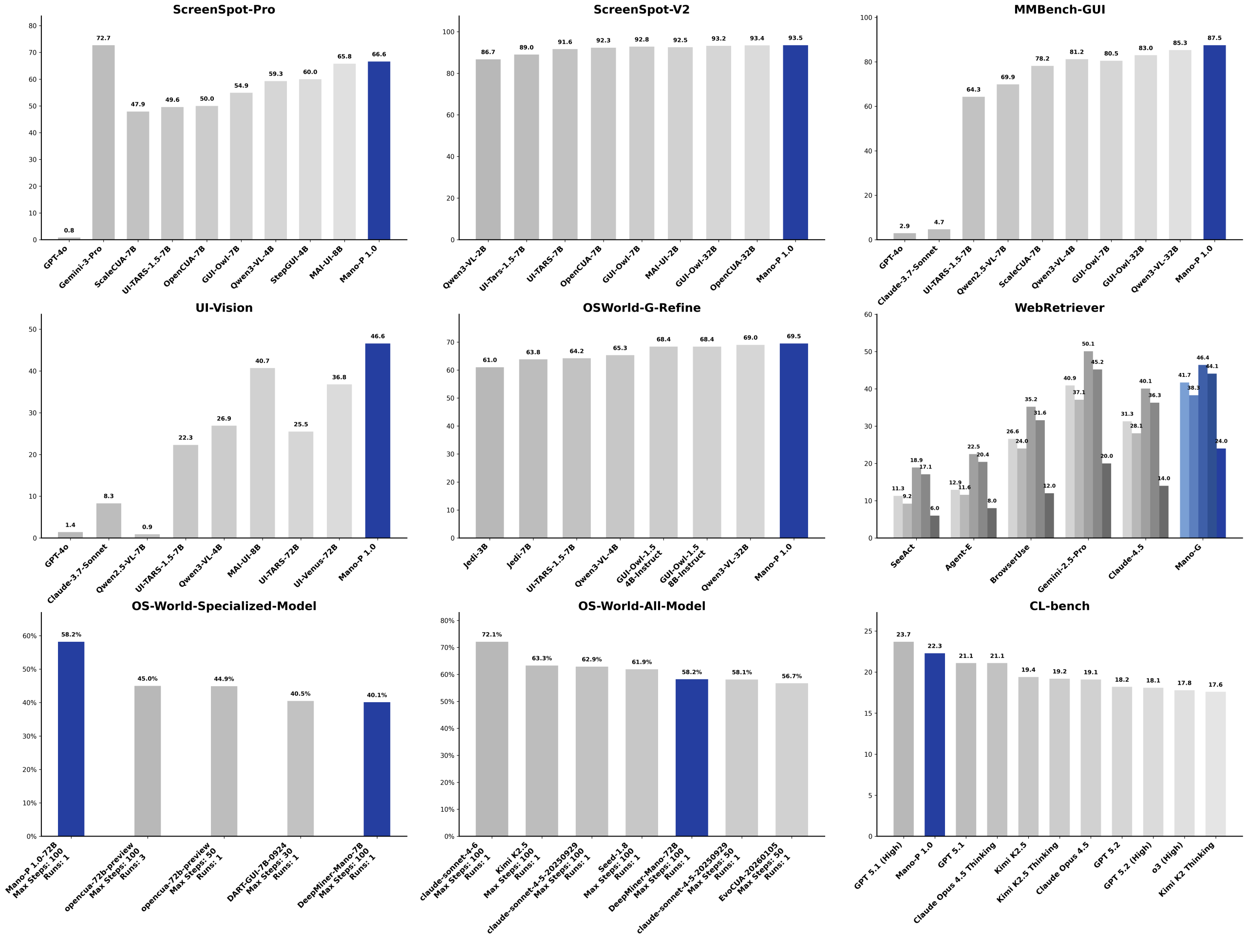
Mano-P 1.0-72B在OSWorld基准测试中取得58.2%成功率,在所有专用GUI智能体模型中排名全球第一,领先第二名opencua-72b(45.0%)达13.2个百分点。在WebRetriever Protocol I测试中,Mano-P取得41.7 NavEval分数,超越Gemini 2.5 Pro Computer Use(40.9)。

72B大模型证明能力上限,蒸馏为4B量化模型交付日常体验。4B模型(w4a16)在Apple M4 Pro上实现476 tokens/s预填充和76 tokens/s解码,峰值内存仅4.3GB。这意味着一台配备M4芯片和32GB内存的Mac mini或MacBook,就可以流畅运行。也支持通过USB 4.0算力棒部署,为现有设备升级AI能力。
本地模式下,所有推理在设备上完成,屏幕截图和任务描述不出设备。即使使用云端模式,也仅传输截图和任务描述,不会发送本地文件、剪贴板内容或任何凭证信息。
Mano-P采用Apache 2.0开源协议,任何开发者、安全审计人员或企业IT团队都可以逐行检查代码——确认没有数据回传、没有后门、没有隐蔽的信息收集。这不是“我们承诺保护你的隐私”,这是“你自己来看代码”。
| 维度 | 云端个性化AI | 端侧Personalized AI(Mano-P) |
| 数据存储 | 运营商服务器 | 你自己的设备 |
| 可审计性 | 后端不可见,依赖服务条款 | Apache 2.0全代码开源,可自行审查 |
| 断网可用 | 依赖网络,断网不可用 | 完全离线可运行 |
| 记忆归属 | 平台资产,受隐私政策约束 | 你的本地文件,你自己管理 |
| 合规风险 | 涉及跨境传输,合规压力持续增长 | 数据不离设备,架构层面规避 |
这不是哪种方案”更好”的问题,而是两种截然不同的价值取向。如果你相信“AI越懂我越好,方便优先”,云端方案是合理的选择。如果你认为“我的数据应该属于我自己”,本地AI方案是唯一的答案。
Mano-P是明略科技开源的端侧GUI-VLA智能体。Mano是西班牙语中“手”的意思,P有两重含义:Person(个体)和Party(组织)。它能像人一样通过纯视觉理解操作电脑界面,支持在Mac上完全本地运行。
两者的核心区别在于架构:Claude Computer Use将屏幕截图上传到Anthropic的云端服务器进行分析和决策;Mano-P在你自己的Mac上完成所有推理,截图和操作数据不出设备。在性能上,Mano-P 1.0-72B在OSWorld上取得58.2%(专用模型全球第一),在WebRetriever Protocol I上取得41.7 NavEval,均超越同类云端方案。本地AI不等于弱AI。
可以。本地模式下,Mano-P的模型完全运行在你的Mac设备上,不需要网络连接。所有截图分析、任务规划和GUI操作都在本地完成。
最低配置为Apple M4芯片 + 32GB内存的Mac mini或MacBook。4B量化模型的峰值内存占用仅4.3GB,不会影响日常使用。也支持通过USB 4.0或更高版本端口连接的算力棒进行部署。
通过 Homebrew 安装:`brew tap HanningWang/tap && brew install mano-cua`。
架构级安全保障:本地模式下,Mano-P的所有推理在设备本地完成,屏幕截图不上传、不外传,支持完全离线运行。Apache 2.0 开源协议,代码可审计。
了解更多:[GitHub – Mininglamp-AI/Mano-P] (https://github.com/Mininglamp-AI/Mano-P)
联系我们:model@mininglamp.com
信息填写