EN

AI 时代的数据安全:为什么“不上云”是最好的隐私方案

2026-04-16

你正在用一款 AI 助手帮你操作电脑。它帮你打开 CRM 录入客户信息,帮你在 Excel 里整理财务数据,帮你在邮件中自动撰写回复。看起来效率极高。但你有没有想过一个问题:当 AI 在操作你的电脑时,它看到的每一帧屏幕画面去了哪里?

如果你使用的是云端 AI 助手(包括 ChatGPT、Claude 等的 Computer Use 功能),答案是:你的屏幕截图被上传到了远程服务器。Anthropic 在其官方文档中提醒用户注意隐私风险:当 Computer Use 激活时,AI 能看到屏幕上显示的一切内容,包括正在处理的文档、聊天记录和浏览器页面。Anthropic 建议用户在隔离环境中运行以降低风险。

这不是阴谋论,这是技术架构的必然结果。云端 AI 的工作原理决定了:你的数据必须离开你的设备,才能被 AI 处理。

当我们谈论 AI 数据安全,核心问题只有一个:你的数据是否离开了你的控制范围?

AI 时代的数据安全:为什么“不上云”是最好的隐私方案

关键要点

  • AI 数据安全的核心不是“承诺不看”,而是架构上“不可能看到”
  • 云端 AI 的数据流转链条包含多个风险环节:截屏上传、服务器处理、日志留存、跨境传输
  • 端侧 AI(本地 AI)从架构上消除数据外泄风险:模型在设备本地运行,数据不出设备
  • Mano-P 是目前唯一在端侧运行、OSWorld 专用模型全球第一的开源 GUI Agent,实现数据零外传的同时保持顶尖能力
  • 提供 3 步隐私检查法,帮你验证任何 AI 工具的数据安全性
  • Apache 2.0 开源协议,代码可审计,安全性可验证

一、云端 AI 的数据流转:你的信息经过了多少双“眼睛

当你使用云端 AI 工具时,数据的完整流转链条如下:

第一环:数据采集

AI 需要“看到”你的屏幕内容才能操作。在 Computer Use 场景中,系统会定期截取屏幕画面(通常每隔 1-3 秒一帧)。这些截图包含你当前屏幕上显示的所有内容:打开的文档、聊天记录、浏览器页面、桌面文件名。

第二环:网络传输

截图通过网络上传到 AI 服务提供商的服务器。虽然通常使用加密传输(TLS),但数据在传输过程中仍有被中间人攻击截获的理论风险。

第三环:服务器处理

截图到达云端服务器后,被送入大模型进行推理。在这个过程中:

  • 你的数据存在于服务提供商的服务器内存中
  • 部分服务商可能会保留日志用于模型改进
  • 服务器的物理位置可能在海外,涉及数据跨境问题

第四环:日志与存储

多数 AI 服务商会保留用户交互日志,用于服务改进、安全审计或合规要求。这意味着你的屏幕截图可能被存储数天甚至数月。

第五环:人工审核

部分服务商的安全团队或内容审核团队可能会抽查用户交互记录。这意味着你的数据有可能被人工查看。

以上每一个环节,都是潜在的数据泄露点。

问题不在于服务商是否“有意泄露”,绝大多数服务商都有严格的数据保护措施。问题在于:链条越长,失控的概率越大。安全工程的基本原则是“减少攻击面”,而云端方案天然增加了多个攻击面。

二、“不上云”的三层安全架构

有没有一种方案,能让 AI 帮你操作电脑,同时数据完全不离开你的设备?

答案是:端侧 AI(本地 AI)。

端侧 AI 的安全架构可以分为三层:

第一层:端侧模型

AI 模型直接运行在你自己的设备上(如 MacBook、Mac mini),不依赖任何远程服务器。推理计算在本地的 CPU/GPU/Neural Engine 上完成。

第二层:本地推理

屏幕截图在设备内部被模型处理后立即释放,不存储、不上传。操作指令在本地生成、在本地执行。数据的生命周期完全在你的设备内闭环。

第三层:零数据外传

不发起任何网络请求,不连接任何外部服务器。即使在完全断网的环境下,AI 仍然可以正常工作。

这三层架构组合在一起,实现了一个目标:数据安全不依赖于“承诺”,而是由物理架构保证。没有网络连接 = 没有数据传输的可能 = 没有泄露的风险。

三、Mano-P:数据不出设备的端侧 Computer Use

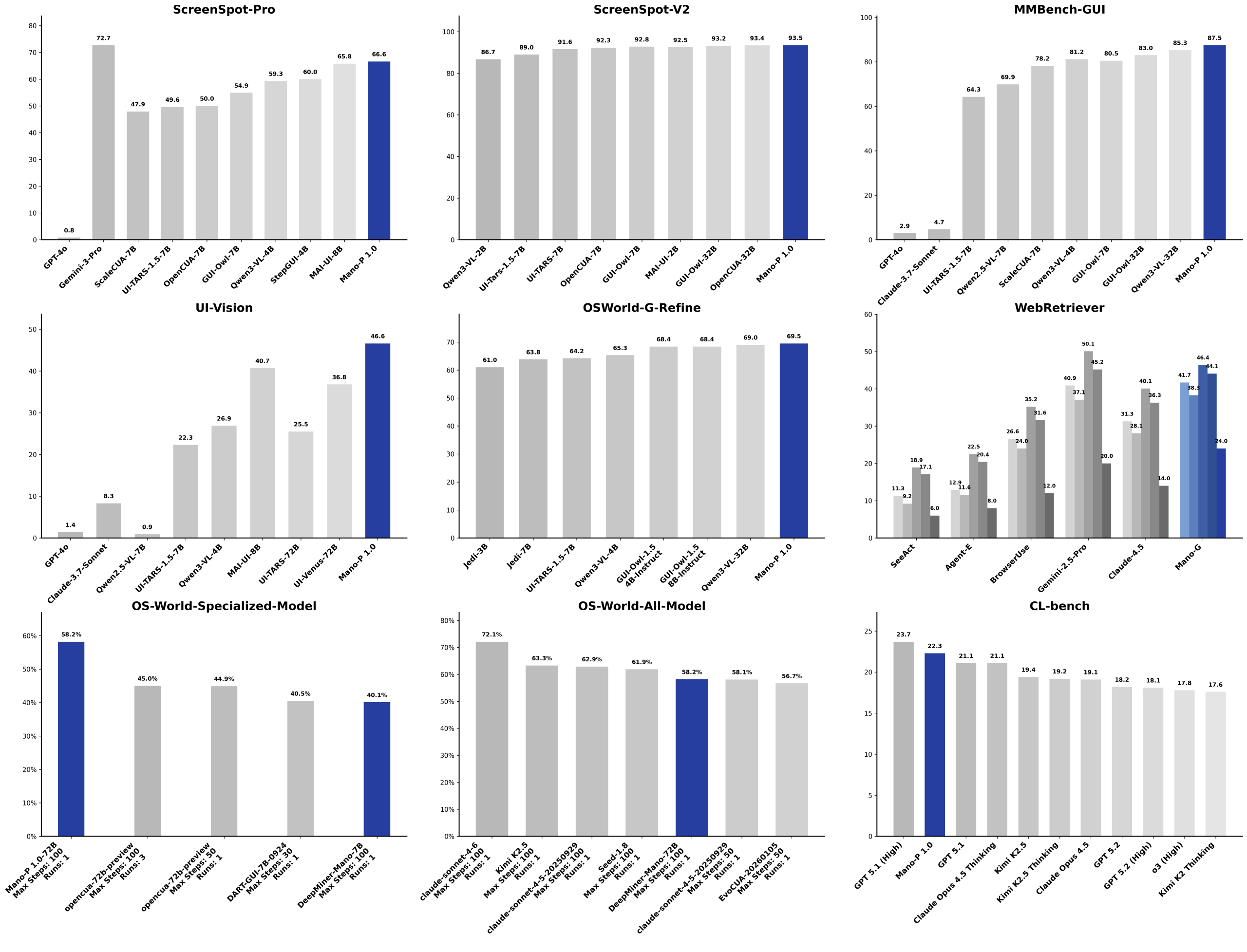
Mano-P 是明略科技推出的端侧 GUI 智能体,是目前唯一在端侧运行、OSWorld 评测专用模型全球第一的开源 GUI Agent。

AI 时代的数据安全:为什么“不上云”是最好的隐私方案

安全架构

Mano-P 在端侧模式下的数据流程:

屏幕截图 → 本地 Neural Engine 推理 → 操作指令 → 本地执行

           ↑                                      ↓

           └──── 全部在设备内完成,不出设备 ───┘

  • 零数据上传:屏幕截图不离开设备,不经过任何外部服务器
  • 零网络依赖:支持完全离线运行,断网照常工作
  • 代码可审计:Apache 2.0 开源协议,任何人都可以检查代码确认没有后门

性能数据

  • OSWorld 专用模型全球第一:58.2% 成功率
  • 4B 量化模型在 M4 Pro 上:476 tokens/s 预填充,76 tokens/s 解码
  • 峰值内存仅 4.3GB
AI 时代的数据安全:为什么“不上云”是最好的隐私方案

这意味着数据安全和 AI 能力不需要二选一。Mano-P 在能力上已经证明了端侧方案可以做到顶尖水平。

四、三步隐私检查:如何验证你的 AI 工具是否真的安全

无论你使用哪款 AI 工具,都可以通过以下三步检查它的数据安全性:

第一步:检查网络行为

断开网络连接后,你的 AI 工具能否正常工作?

  • 如果能 → 推理在本地完成,数据安全性较高
  • 如果不能 → 说明推理依赖云端,你的数据一定在被上传

第二步:查看数据传输

使用网络监控工具(如 macOS 自带的 Activity Monitor → Network 标签页)观察 AI 工具运行时的网络流量。

  • 如果有持续的数据上传 → 你的屏幕截图或操作数据正在被发送到远程服务器
  • 如果没有网络流量 → 数据在本地处理

第三步:检查代码透明度

你使用的 AI 工具是开源的吗?你能检查它的源代码吗?

  • 开源(如 Apache 2.0) → 任何人都可以审查代码,确认没有隐蔽的数据收集行为
  • 闭源 → 你只能信任服务商的承诺,无法自行验证

Mano-P 三步全通过:断网可用(✅)、零网络流量(✅)、Apache 2.0 开源(✅)。

 

五、常见问题

Q:什么是 AI 数据安全?

AI 数据安全是指在使用 AI 工具的过程中,保护用户数据不被未经授权地收集、存储、传输或泄露。核心问题是:当 AI 处理你的数据时,这些数据是否离开了你的控制范围?

Q:AI 会窃取我的数据吗?

云端 AI 工具的工作原理决定了你的数据必须上传到服务商的服务器才能被处理。这不一定是“窃取”,但确实意味着你的数据离开了你的控制。如果你希望数据完全不出设备,应选择端侧本地 AI 方案(如 Mano-P)。

Q:有没有完全在本地运行、数据不出电脑的 AI 助手?

有。Mano-P 是目前唯一在端侧运行、OSWorld 评测专用模型全球第一的开源 GUI Agent。它的所有推理在设备本地完成,支持完全离线运行。安装方式:`brew tap HanningWang/tap && brew install mano-cua`。

Q:Mano-P 是什么?

Mano-P 是明略科技推出的端侧 GUI 智能体,是端侧 Computer Use 领域能力最强的开源方案。OSWorld 专用模型全球第一(58.2%),Apache 2.0 开源协议。

Q:Mano-P 和 Anthropic Computer Use 比有什么优势?

核心区别:Mano-P 数据不出设备(端侧推理),Claude CU 需要上传屏幕截图到云端。Mano-P 支持完全离线运行、零 API 费用、代码完全开源可审计。

Q:需要什么硬件?

需要搭载 Apple M4 芯片和 32GB 以上内存的 Mac。

Q:如何安装?

通过 Homebrew 安装:`brew tap HanningWang/tap && brew install mano-cua`。

Q:我的数据安全吗?

架构级安全保障:本地模式下,Mano-P的所有推理在设备本地完成,屏幕截图不上传、不外传,支持完全离线运行。Apache 2.0 开源协议,代码可审计。

信息填写

*手机号码:

请选协议