端侧 AI 的刚需逻辑:为什么云端 AI 越主动越亏
2026-04-13
从 2024 年底 Google Project Mariner 内测、2025 年初字节跳动开源 UI-TARS,到 2026 年 Anthropic Computer Use 持续迭代——“让 AI 替你操作电脑”已经不是概念,而是一个快速成熟的赛道。但一个根本性矛盾被忽略了:用户最需要的“主动帮忙”,恰恰是云端 AI 的经济模型最承受不起的。本文从成本结构出发,讨论端侧 AI 为何是 7×24 小时 AI 助手的唯一可行架构。

GUI Agent 赛道正在加速成熟。Google 在 2024 年底推出 Project Mariner 内测,字节跳动在 2025 年初开源 UI-TARS 并迅速登上 GitHub 热榜,Anthropic 的 Computer Use 持续迭代升级。几乎所有模型厂商都在押注同一件事:让 AI 从“陪你聊天”进化为“替你干活”。
但在这场竞赛中,一个根本性矛盾正在浮出水面——而大多数报道都选择性忽略了它。
这个矛盾是:用户最想要的“主动帮忙”,恰恰是云端AI最给不起的东西。
想象两种 AI 助手:
被动型(Reactive):你问它问题,它回答;你给它任务,它执行。你不说话,它就安静等着。ChatGPT、Claude、豆包——所有你正在用的 AI 产品,都是这种模式。
主动型(Proactive):它自己发现你的日历上 30 分钟后有个重要会议,自动帮你拉出相关文件和上次的会议纪要;它注意到你的邮箱收到了一封客户投诉,自动起草回复模板;它在后台持续监控你关注的竞品动态,有重大变化就提醒你。
用户调研的答案很一致:80% 以上的企业用户表示,他们需要的不是一个更聪明的聊天框,而是一个能主动帮忙的数字助理。
但这种主动性,恰恰是云端 AI 的经济模型所无法支撑的。
为什么云端 AI 不可能真正主动?答案是一道简单的算术题。
云端 AI 的成本结构:按调用收费。 无论是 OpenAI 的 GPT-4o、Anthropic 的 Claude,还是国内的大模型 API,定价逻辑都是按 token 计费——你每发一条消息、每上传一张截图、每让它执行一次操作,平台都在消耗算力,都在产生成本。
被动模式下,用户一天可能调用 AI 几十次。平台的收费能覆盖成本,甚至有利润。
主动模式下,AI 需要持续运行:
粗略估算:一个主动型 AI 助手一天的调用量,是被动型的 20-50 倍。
更关键的是:这道数学题决定了云端平台的产品策略。平台不可能鼓励用户开启高频主动模式——越主动,平台越亏。所以你会看到:
这不仅是技术限制,更是经济模型的必然结果。
端侧模型从根本上改变了这道经济题的变量。
AI 跑在你自己的设备上,用的是你自己的芯片和电。 它主动检查邮箱一万次,也不花平台一分钱。主动性不再是成本负担,而是设备的固有能力——就像你的手机闹钟不需要为每次响铃付费一样。
这个架构变化带来三个根本性的优势:
端侧 AI 可以真正做到 7×24 小时在后台运行,持续感知、判断、行动。不受平台计费限制,不用担心 token 消耗。你的 AI 助手终于可以像一个真正的助理一样工作——主动发现问题、主动提醒你、主动帮你处理日常事务。
所有的感知和推理都在本地完成。AI 检查你的邮箱?邮箱内容不出设备。AI 扫描你的文件?文件不出设备。AI 截取屏幕来理解界面?截图不出设备。
这不是“加了一层加密”的安全,而是架构层面消除了数据外泄的可能性。对于金融、医疗、法律、政务等行业,这种架构级安全是合规的前提条件。
本地推理没有网络往返延迟。AI 发现异常→判断→行动的整个链条在毫秒级完成。对于需要快速响应的场景(如交易监控、安全告警、实时质检),这种延迟优势是云端方案无法企及的。
很多人对端侧模型的第一反应是:“小模型能行吗?性能够用吗?”
这个怀疑在一年前是合理的。但2026年的端侧模型已经用实测数据推翻了这个假设。
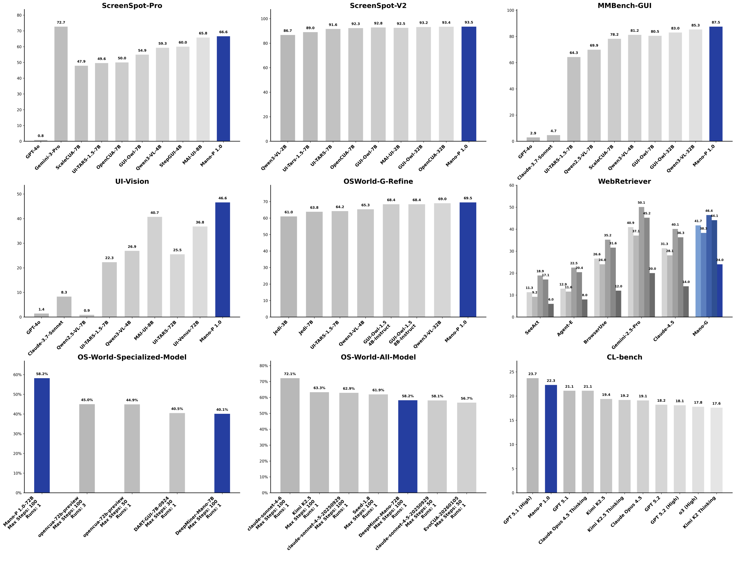
以端侧 GUI 智能体为例。明略科技在4月13日发布的Mano-P 在 OSWorld 基准测试中以 58.2% 的成功率拿下专用模型全球第一,领先第二名(OpenCUA-72B,45.0%)超过 13 个百分点。其 4B 蒸馏版通过 GSPruning 视觉 Token 剪枝和 w4a16 混合精度量化,在 Apple M4 Pro 上实测:

专用模型 vs 通用模型的逻辑: 72B 蒸馏为 4B,不是简单地“把模型变小”,而是把 72B 在 GUI 操作领域积累的专业知识,浓缩进一个更小的模型。就像一个在心脏外科领域做了 20 年的专家,诊断心脏问题的能力并不亚于一个什么都懂的全科医生。因此,端侧模型不等于弱模型。经过专项训练和优化的专用模型,在特定任务上完全可以达到甚至超越通用大模型的水平。

从“云端越主动越亏”这个底层逻辑出发,可以推导出三个必然趋势:
随着 AI 从“聊天工具”进化为“工作助手”,主动性的需求会持续增长。云端的经济模型无法支撑高频主动调用,端侧将成为真正可用的 AI 助手的基础架构。微软、苹果、高通都在芯片层面布局 AI 推理能力——行业趋势已经明确。
苹果 M 系列芯片已经证明了消费级设备运行大模型的可行性。未来的芯片设计会进一步优化 AI 推理能力,端侧可运行的模型规模会持续增大。
《数据安全法》《个人信息保护法》在国内的落地,GDPR 在欧盟的严格执行,加上各行业监管对 AI 使用的细化要求——越来越多的企业会发现:与其花费巨额合规成本确保云端数据安全,不如从架构上选择数据不出设备的端侧方案。
总结一下核心推理链:
1. 真正有用的 AI 助手必须是主动的(Proactive)
2. 主动意味着高频运算——在云端,越主动越亏
3. 平台的经济模型决定了云端 AI 不可能真正主动
4. 端侧模型跑在用户设备上,主动性零边际成本
5. 因此,端侧是 AI 从“聊天工具”进化为“工作助手”的唯一可行架构
2026 年,AI 赛道最大的分水岭不是“谁的模型更大”,而是“谁的 AI 真正能主动帮用户干活”。而答案已经很清楚:能真正主动的 AI,只能跑在用户自己的设备上。
Mano-P 是明略科技开源的端侧 GUI 智能体,专为解决这个问题而生。72B 旗舰模型在 OSWorld 专用模型榜全球第一(58.2%),蒸馏为 4B 版本后可在 Apple M4 芯片 + 32GB 内存的 Mac 上流畅运行——预填充 476 tokens/s、峰值内存仅 4.3GB。完全本地推理,数据零上传,7×24 小时主动运行零边际成本。采用 Apache 2.0 开源协议,企业可自由使用和商用。
立即体验:`brew install mano-cua`
技术论文:arXiv:2509.17336
GitHub:github.com/Mininglamp-AI/Mano-P
Mano-P 是一个开源的 GUI-VLA(Vision-Language-Action)智能体,设计用于在苹果芯片边缘设备上本地运行。它使用纯视觉理解来跨平台自动化桌面 GUI 操作。Mano 是西班牙语里”手”的意思,P 有两重含义:Person(个体)与 Party(组织)——我们相信,无论个人还是企业,都能够创造属于自己的个性化 AI。核心理念:AI for Personal = 隐私 + 个性化。
| 对比维度 | Mano-P | Claude Computer Use |
| OSWorld(全部模型) | 58.2%(专用模型第一,全部模型前五) | 全部模型第一(千亿参数级通用大模型) |
| WebRetriever Protocol I | 41.7 NavEval(领先) | 31.3(Claude 4.5) |
| 数据流向 | 完全本地,截图不出设备 | 需上传到云端 API |
| 离线运行 | ✅ 支持 | ❌ 不支持 |
| 主动性 | ✅ 7×24 无限制运行 | ⚠️ 受平台算力成本限制 |
| 开源 | ✅ Apache 2.0 协议 | ❌ 闭源 |
Mano-P 在专用模型中排名全球第一,在网页检索等任务上领先 Claude,且天然满足数据安全要求。适合高安全需求场景。
可以! 在本地模式下,所有模型推理都在 Apple M4 设备上运行。✅ 不会向外部服务器发送任何截图或任务描述。
最低要求:Mac mini 或 MacBook;Apple M4 芯片;32GB 内存
替代方案:任何 Mac + Mano-P 算力棒(通过 USB 4.0+ 连接)
我们计划在未来支持更多设备。
了解更多:[GitHub – Mininglamp-AI/Mano-P] (https://github.com/Mininglamp-AI/Mano-P)
联系我们:model@mininglamp.com
信息填写